一、概述
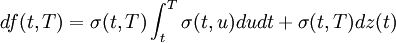
HJM模型是什么?這個模型是由赫斯、加羅和墨頓在1992年提出,T時刻瞬間元氣利率(t,T)的變化服從:

從上面的公式中我們可以看到,整個的模型估計的參數只有一個,也就是波動性,而且這個波動性不會隨著測度的變化而變化。
二、方法
HJM模型的主要的方法其實就是無套利分析法。簡單的所就是在n個因子風險模型下,可以通過一個無風險資產和n個風險資產的組合構造資產市場上的所有資產。
給定債券波動率的期限結構,就可以得到債券定價的全部信息,它是無套利模型的基準模型。但是模型本身在應用的過程中也會產生問題。在構造利率變動的二叉數或者三叉數模型時,利率通常在上升和下降后就不會再重新聚合。
換句話所就是:利率先上升后下降與先下降后上升之后所達到的不是同一個節點,利率變動不是馬爾可夫鏈。這就會導致二叉樹模型的最終節點的幾何擴大,極大地增加計算和模擬的難度。
三、優缺點
1. 優點。它只需要規定遠期利率的波動結構和初始遠期利率曲線就足以畫期限結構的動態,這樣也就不需要估計趨勢系數。它不需要考慮投資者的個人偏好,避免了與效用相關的參數,而其它模型需要計算風險的市場價格。這個模型畫期限結構的方法是用遠期利率的波動結構刻畫遠期利率,進而再刻畫瞬時現期利率。
2. 缺陷。、瞬時遠期利率不是直接可觀察的,因此要應用HJM模型就可能比較困難。HJM模型框架中,瞬時遠期利率的連續復合排除了出現對數正態過程的可能性。
HJM模型定義及優缺點的相關解析就介紹到這里,相信大家對此已經掌握了,如若您想要學習認沽權證的話可點擊進入,最后預祝大家投資愉快。
上一篇:費雪效應的定義及其公式的分
下一篇:抽屜協議是什么意思 抽屜協
經營性網站備案信息
中國互聯網違法和不良信息舉報中心
本站帶寬由
河南網絡
網絡 110
服務中心:鄭州市金水區農業路經三路
郵編:450002 網址:m.hywhcm.com
銷售熱線:0371-65350319
技術支持:13333833889